• ホームHome
  • 生物生産学部

English website is here .

RESEARCH 最新の研究紹介

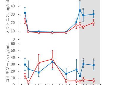
稲生 雄大 助教らの研究グループが、牛舎の照明による乳牛の生産性や内分泌代謝への影響を検証

応用動植物科学プログラム
2025年9月24日

上田 晃弘 教授らの研究グループが、塩ストレス下での高い根圏pHはイネの若い葉へのナトリウム蓄積を促進することを発見
応用動植物科学プログラム
2025年9月9日

JAISUE JIRAPAT 特任助教らの研究グループが、エンドトキシン寛容がヤギの乳房炎を抑制することを示唆
応用動植物科学プログラム
2025年6月13日


up